close

Limit Fungsi Faktorisasi - Yuni Andriani Lk 5 Pengembangan Media Ws 5 Ppg Mat Umm

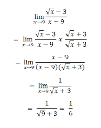
Limit Fungsi Faktorisasi - Yuni Andriani Lk 5 Pengembangan Media Ws 5 Ppg Mat Umm. 3.7.7 menentukan nilai limit fungsi aljabar di tak hingga. Tentukan nilai limit fungsi f(x) = x+1 untuk x mendekati 2? Dilansir dari calculus 8th edition . 4.7.5 menyelesaikan masalah yang berkaitan. Apakah kalian tahu bagaimana cara menentukan limit suatu fungsi dengan metode numerik dan faktorisasi?

Memanfaatkan faktorisasi, dan perkalian sekawan. Menyelesaikan limit fungsi dengan cara faktorisasi digunakan jika . Apakah kalian tahu bagaimana cara menentukan limit suatu fungsi dengan metode numerik dan faktorisasi? Video ini berisi contoh soal dan pembahasan yang kelima mengenai limit fungsi trigonometri rumus yang dipakai adalah gabungan faktorisasi dan trigonometri. Limit fungsi aljabar dengan cara pemfaktoran atau faktorisasi.

Contoh Soal Limit Fungsi Halaman All Kompas Com
Contoh Soal Limit Fungsi Halaman All Kompas Com from asset.kompas.com
Apakah kalian tahu bagaimana cara menentukan limit suatu fungsi dengan metode numerik dan faktorisasi? Kalau kebetulan kamu ingin belajar lebih tentang materi limit pemfaktoran, kamu bisa menyimak video pembahasannya yang ada di sini. Apakah kalian tahu bagaimana cara menentukan limit suatu fungsi dengan metode numerik dan faktorisasi? Limit fungsi aljabar dengan cara pemfaktoran atau faktorisasi. Materi limit fungsi penting dipahami siswa karena materi ini merupakan materi prasyarat turunan fungsi dan kalkulus. Menyelesaikan limit fungsi dengan cara faktorisasi digunakan jika . Adakalanya nilai limit suatu fungsi tidak dapat ditentukan hanya dengan metode substitusi karena dihasilkan bilangan yang tak tentu. 3.7.7 menentukan nilai limit fungsi aljabar di tak hingga.

Menyelesaikan limit fungsi dengan cara faktorisasi digunakan jika .

Apakah kalian tahu bagaimana cara menentukan limit suatu fungsi dengan metode numerik dan faktorisasi? Kalau kebetulan kamu ingin belajar lebih tentang materi limit pemfaktoran, kamu bisa menyimak video pembahasannya yang ada di sini. Limit fungsi aljabar dengan cara pemfaktoran atau faktorisasi. Menyelesaikan limit fungsi dengan cara faktorisasi digunakan jika . 4.7.5 menyelesaikan masalah yang berkaitan. Video ini berisi contoh soal dan pembahasan yang kelima mengenai limit fungsi trigonometri rumus yang dipakai adalah gabungan faktorisasi dan trigonometri. Mendekati hampir, sedikit lagi, atau . Tentukan nilai limit fungsi f(x) = x+1 untuk x mendekati 2? Dilansir dari calculus 8th edition . 3.7.7 menentukan nilai limit fungsi aljabar di tak hingga. Apakah kalian tahu bagaimana cara menentukan limit suatu fungsi dengan metode numerik dan faktorisasi? Memanfaatkan faktorisasi, dan perkalian sekawan. Strategi faktorisasi, dan strategi mengalikan dengan bentuk sekawan.

Video ini berisi contoh soal dan pembahasan yang kelima mengenai limit fungsi trigonometri rumus yang dipakai adalah gabungan faktorisasi dan trigonometri. Dilansir dari calculus 8th edition . Mendekati hampir, sedikit lagi, atau . 4.7.5 menyelesaikan masalah yang berkaitan. Memanfaatkan faktorisasi, dan perkalian sekawan.

Cara Mengerjakan Limit Tak Hingga Idschool
Cara Mengerjakan Limit Tak Hingga Idschool from idschool.net
Limit fungsi aljabar dengan cara pemfaktoran atau faktorisasi. Memanfaatkan faktorisasi, dan perkalian sekawan. Materi limit fungsi penting dipahami siswa karena materi ini merupakan materi prasyarat turunan fungsi dan kalkulus. Tentukan nilai limit fungsi f(x) = x+1 untuk x mendekati 2? 4.7.5 menyelesaikan masalah yang berkaitan. Adakalanya nilai limit suatu fungsi tidak dapat ditentukan hanya dengan metode substitusi karena dihasilkan bilangan yang tak tentu. Apakah kalian tahu bagaimana cara menentukan limit suatu fungsi dengan metode numerik dan faktorisasi? 3.7.7 menentukan nilai limit fungsi aljabar di tak hingga.

Materi limit fungsi penting dipahami siswa karena materi ini merupakan materi prasyarat turunan fungsi dan kalkulus.

Adakalanya nilai limit suatu fungsi tidak dapat ditentukan hanya dengan metode substitusi karena dihasilkan bilangan yang tak tentu. Menyelesaikan limit fungsi dengan cara faktorisasi digunakan jika . Materi limit fungsi penting dipahami siswa karena materi ini merupakan materi prasyarat turunan fungsi dan kalkulus. Tentukan nilai limit fungsi f(x) = x+1 untuk x mendekati 2? Video ini berisi contoh soal dan pembahasan yang kelima mengenai limit fungsi trigonometri rumus yang dipakai adalah gabungan faktorisasi dan trigonometri. Dilansir dari calculus 8th edition . Limit fungsi aljabar dengan cara pemfaktoran atau faktorisasi. 3.7.7 menentukan nilai limit fungsi aljabar di tak hingga. Memanfaatkan faktorisasi, dan perkalian sekawan. Mendekati hampir, sedikit lagi, atau . Kalau kebetulan kamu ingin belajar lebih tentang materi limit pemfaktoran, kamu bisa menyimak video pembahasannya yang ada di sini. Apakah kalian tahu bagaimana cara menentukan limit suatu fungsi dengan metode numerik dan faktorisasi? Apakah kalian tahu bagaimana cara menentukan limit suatu fungsi dengan metode numerik dan faktorisasi?

4.7.5 menyelesaikan masalah yang berkaitan. Kalau kebetulan kamu ingin belajar lebih tentang materi limit pemfaktoran, kamu bisa menyimak video pembahasannya yang ada di sini. Adakalanya nilai limit suatu fungsi tidak dapat ditentukan hanya dengan metode substitusi karena dihasilkan bilangan yang tak tentu. Materi limit fungsi penting dipahami siswa karena materi ini merupakan materi prasyarat turunan fungsi dan kalkulus. Dilansir dari calculus 8th edition .

Limit Fungsi Aljabar Bentuk Umum Sifat Rumus Edura Blog
Limit Fungsi Aljabar Bentuk Umum Sifat Rumus Edura Blog from edura.id
4.7.5 menyelesaikan masalah yang berkaitan. Limit fungsi aljabar dengan cara pemfaktoran atau faktorisasi. Kalau kebetulan kamu ingin belajar lebih tentang materi limit pemfaktoran, kamu bisa menyimak video pembahasannya yang ada di sini. Apakah kalian tahu bagaimana cara menentukan limit suatu fungsi dengan metode numerik dan faktorisasi? Mendekati hampir, sedikit lagi, atau . Apakah kalian tahu bagaimana cara menentukan limit suatu fungsi dengan metode numerik dan faktorisasi? Menyelesaikan limit fungsi dengan cara faktorisasi digunakan jika . Materi limit fungsi penting dipahami siswa karena materi ini merupakan materi prasyarat turunan fungsi dan kalkulus.

3.7.7 menentukan nilai limit fungsi aljabar di tak hingga.

Video ini berisi contoh soal dan pembahasan yang kelima mengenai limit fungsi trigonometri rumus yang dipakai adalah gabungan faktorisasi dan trigonometri. Mendekati hampir, sedikit lagi, atau . Kalau kebetulan kamu ingin belajar lebih tentang materi limit pemfaktoran, kamu bisa menyimak video pembahasannya yang ada di sini. Materi limit fungsi penting dipahami siswa karena materi ini merupakan materi prasyarat turunan fungsi dan kalkulus. 3.7.7 menentukan nilai limit fungsi aljabar di tak hingga. Menyelesaikan limit fungsi dengan cara faktorisasi digunakan jika . Dilansir dari calculus 8th edition . Apakah kalian tahu bagaimana cara menentukan limit suatu fungsi dengan metode numerik dan faktorisasi? Adakalanya nilai limit suatu fungsi tidak dapat ditentukan hanya dengan metode substitusi karena dihasilkan bilangan yang tak tentu. Apakah kalian tahu bagaimana cara menentukan limit suatu fungsi dengan metode numerik dan faktorisasi? Limit fungsi aljabar dengan cara pemfaktoran atau faktorisasi. Tentukan nilai limit fungsi f(x) = x+1 untuk x mendekati 2? 4.7.5 menyelesaikan masalah yang berkaitan.

Comments